VERIFICHE DI BLOCK TEARING
Il block tearing é una modalità di rottura in cui una porzione di un oggetto (una membratura, un tramite) viene strappata via dal resto interessando, in generale, sforzi normali e sforzi di taglio sulle superfici coinvolte. Nel caso mostrato nella figura seguente, la trazione applicata provoca uno strappo della membratura con un percorso di rottura che include tutti i bulloni. Sulle due superfici del percorso di rottura parallele alla forza applicata si ha puro taglio, su quella perpendicolare sia hanno sforzi normali. Quello mostrato non è che uno dei possibili percorsi di rottura.

Nota la direzione della forza applicata, la resistenza totale di un percorso di rottura è la somma delle resistenze di tutte le superfici di quel percorso. I percorsi di rottura possibili sono molteplici, e il collasso si manifesta lungo quello che ha resistenza minima.
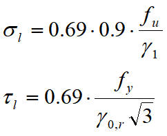
Una problematica fondamentale che è stata affrontata è la totale mancanza nella letteratura e nella normativa di regole generali sul block tearing: i casi reperibili sono sempre limitati a forze parallele o perpendicolari ai lati di un piatto rettangolare (eventualmente irrigidito come nel caso di profili ad H), che provocano percorsi di rottura con lati anch’essi perpendicolari o paralleli alle forze. Su tali percorsi si hanno quindi tensioni limite che valgono rispettivamente:
![]()
Nella realtà le forze non sono mai perfettamente parallele o perpendicolari, e anche nel caso in cui lo siano, possono esserci tratti di percorso non paralleli o perpendicolari ad esse. La tensione limite su un lato può quindi avere un valore compreso tra σl e τl, dipendente dall’inclinazione. Chiameremo questa tensione σeq, e il suo valore è dato da:

dove l’angolo α è misurato con la convenzione mostrata nella figura seguente:

Per lati perpendicolari e paralleli alla risultante, si ritrovano rispettivamente τl e σl:
per α=0° si ha σeq=τl
per α=90° si ha σeq=σl
L’esempio seguente illustra in modo chiaro le tensioni sopportabili dai vari lati di un percorso di rottura generico, in funzione della risultante sui bulloni.

La resistenza di ciascun lato si ottiene moltiplicando la σeq per l’area di competenza. L’area di competenza è data dallo spessore del piatto per la lunghezza del tratto di percorso, al netto dei fori. La resistenza totale del percorso è data dalla somma delle resistenze dei vari tratti del percorso di rottura.
Nella letteratura e nella normativa manca un metodo di calcolo generale valido in qualsiasi situazione, e questo si scontra con la necessità di dover calcolare il block tearing in situazioni generiche, non riconducibili ai semplici esempi proposti. Sono reperibili studi che hanno affrontato il problema con modelli fem non lineari che risultano inevitabilmente molto onerosi in termini di tempi di calcolo.
Il tempo di calcolo è fondamentale in collegamenti che devono essere verificati in decine o centinaia di combinazioni e istanze, e in cui ciascun componente è potenzialmente soggetto al block tearing. Per questo motivo si è cercato di studiare per CSE un metodo, del tutto nuovo, avente le seguenti caratteristiche:
▪generale (valido in qualsiasi situazione, non solo in casi semplici e facilmente dominabili)
▪semplificato, al fine di ridurre drasticamente i tempi di calcolo;
▪a favore di sicurezza
Va innanzitutto detto che il problema è stato affrontato, al momento, solo per i pezzi interessati da bullonature, ma che aspetti attualmente non coperti dalla verifica di block tearing sono comunque presi in considerazione dalle verifiche delle sezioni nette e dai modelli fem dei componenti. Inoltre, l’utente può definire ulteriori condizioni di verifica aggiuntive con criteri ad hoc. L’analisi fem, in particolare, copre in parte le problematiche del block tearing dovuto alle saldature; ciò non vale per le bullonature in quanto i modelli fem non hanno i fori per i bulloni.
L’approccio che si è scelto di seguire è quello di analizzare, una alla volta, le facce dei componenti interessati da bullonature per le quali é richiesta la verifica del block tearing. Ciascuna faccia è considerata avulsa dal contesto, e sono considerate solo le forze trasmesse a essa dai bulloni del layout in esame.
Sulle due facce dello stesso piatto saranno applicate le forze nel piano della bullonatura agenti all’estremo corrispondente al piano medio del piatto. Tali forze sono già state calcolate nella prima fase delle verifiche, per tutte le combinazioni e tutte le istanze. Nell’immagine seguente viene mostrato il trasferimento delle forze applicate all’estremo di una bullonatura (che coincide con il piano medio di un piatto) alla faccia 2 del piatto stesso.

A partire da tutti i bulloni del layout, e riducendo progressivamente i bulloni coinvolti fino a un minimo di due, vengono ricercati tutti i possibili percorsi di rottura, in funzione della direzione della risultante corrente, che uniscono i vari bulloni e raggiungono i bordi della faccia considerata.
I tratti di raccordo con i bordi possono essere paralleli alla risultante (caso A nella figura seguente), perpendicolari a essa (caso B), oppure possono essere i tratti più brevi per raggiungere il contorno (caso C). Infine sono considerate combinazioni tra essi (caso D, un tratto parallelo alla risultante e un tratto di minimo percorso).

NOTA: le resistenze dei percorsi che interessano un sottoinsieme dei bulloni devono essere confrontate con la risultante parziale di quel sottoinsieme di bulloni.
Il metodo implementato, poiché considera solo le forze trasferite a ciascuna faccia dalla sola bullonatura in esame, senza considerare cosa avviene sul resto del pezzo, può in alcuni casi trovare percorsi che nella realtà fisica non potrebbero verificarsi, ma ciò è a favore di sicurezza. Prendiamo in considerazione i tre percorsi di rottura mostrati nell’immagine seguente, dove la parte in giallo viene strappata via dalla parte trattenuta (quella in azzurro): questa seconda parte viene considerata da CSE come vincolata; in realtà, se in quella zona non vi è nulla a trattenere il pezzo, la rottura non potrà avvenire lungo quel percorso: più piccola è la zona considerata trattenuta, minore sarà la probabilità che vi sia effettivamente un ritegno proprio in quella zona. Il considerare comunque quel percorso è a favore di sicurezza.

Immaginiamo che l’oggetto della figura precedente sia allungato verso sinistra (ad esempio una membratura bullonata all’estremità destra, si veda la figura sottostante): il terzo percorso verrebbe considerato ma non risulterebbe il più critico per via della lunghezza maggiore su cui si ripartiscono gli sforzi di taglio.

Le verifiche di block tearing possono essere attivate o inibite nel dialogo di impostazione delle verifiche. Se sono attive, queste verranno svolte per tutti i componenti interessati da bullonature che le richiedono, in base alle impostazioni definite nel dialogo della bullonatura.
In sostanza, le verifiche vengono svolte per le bullonature che richiedono il block tearing. I coefficienti di sfruttamento calcolati per le varie facce interessate vengono associati ai componenti corrispondenti. I risultati sono quindi visualizzabili selezionando il componente desiderato ed eseguendo il comando Mostra risultati block tearing. Nel dialogo delle bullonature è invece possibile interrogare il programma sui percorsi più critici sulle facce interessate, al variare della direzione della risultante.
Dettaglio delle tensioni di riferimento adottate per le varie normative
CNR 10011 TA

CNR10011 SL

EC3

AISC ASD
![]()
AISC LRFD
![]()
IS800 WS

IS800 LS

BS 5950

SNiP II- 23-81
Si vedano anche le spiegazioni relative ai fattori di sicurezza nelle norme SNiP.
I valori fu e fy dipendono dallo spessore del piatto verificato.

Lt ed Lv sono sempre calcolate da CSE come lunghezze lorde meno la lunghezza dei fori. Così, per una riga di bulloni k = 0.5 e per dure righe di bulloni k=1.5 (non 2.5 come scritto nella norma). Si deve notare che le BS non coprono esplicitamente situazioni complesse dove ci siano più di due righe di bulloni o dove non ci siano "righe" a cui fare riferimento. Si veda il §6.2.4 della norma.
-----------------------------
C.S.E. - 2001-2022 - Copyright Castalia srl - Milan - Italy - www.castaliaweb.com