VERIFICHE A RIFOLLAMENTO
BULLONI NORMALI (NON PERNI)

Una volta note le azioni di taglio comunicate, ai vari estremi, dal bullone ai componenti connessi, è possibile eseguire, per quei componenti, le verifiche a rifollamento. Data una bullonatura che connetta m componenti, per ciascun bullone e per ciascun componente vengono eseguite da CSE in modo totalmente automatico le verifiche di rifollamento. Le verifiche di rifollamento accettano esplicitamente tensioni di contatto superiori allo snervamento, facendo conto sulla redistribuzione plastica.
Le verifiche di rifollamento sono ovviamente associate al pezzo, e non alla bullonatura. Le azioni taglianti afferenti al gambo dei bulloni fanno ovviamente parte delle verifiche di resistenza della bullonatura e potranno, eventualmente, provocare la crisi della bullonatura stessa. Esse sono tuttavia cosa ben diversa dalla verifica di rifollamento.
Nella verifica al rifollamento il programma cerca, per quanto possibile, di tenere conto della posizione (interna o esterna) del bullone rispetto al componente da verificare.
Non vengono considerati i lati riconosciuti come irrigiditi, cioé i lati da cui partono facce inclinate con un angolo minore di 150° o maggiore di 210° rispetto alla faccia in esame (180°
30°).

Le verifiche di rifollamento sono eseguite automaticamente da CSE (su richiesta). L’indice di sfruttamento per rifollamento viene raffrontato, per il pezzo, con gli altri indici di sfruttamento, valutati da altre verifiche, e, se maggiore, viene memorizzato insieme alla causa che lo ha prodotto.
L’indice di sfruttamento per rifollamento è definito in modo diverso a seconda della norma che si impiega.
Per le norme CNR esso è il rapporto tra la pressione di contatto tra gambo e lamiera, ed una opportuna tensione di riferimento, funzione della tensione di snervamento del pezzo, della posizione del bullone, dello spessore del piatto.
Per le norme EC3, si ha analogamente un rapporto tra tensioni di contatto.
In generale, le pressioni di contatto dovute ai tagli totali V nei gambi dei bulloni, agenti sugli spessori in contatto, non sono allineate con alcun asse in particolare. Quindi il taglio totale V è decomposto in due componenti, lungo l'asse x e lungo l'asse y, Vx and Vy. Queste sono le direzioni delle "righe" e delle "colonne" per una disposizione regolare (a righe e colonne, appunto). Se qualche bullone di una bullonatura regolare è rimosso o spostato, gli assi principali (u, v) della bullonatura non sono più allineati con le direzioni originarie delle righe e delle colonne (x, y), che pure possono continuare ad esistere. Per risolvere questo problema, CSE usa sempre gli assi (x, y) e non gli assi (u, v) quando verifica a rifollamento i componenti. In questo modo, i passi px e py possono ancora essere impiegati, e così le spaziature correlate.
A partire dalla versione 5.30 le verifiche per rifollamento sono state modificate nel seguente modo.
Nella verifica di bulloni classificati come "esterni", per tener conto del fatto che il verso della componente della forza allineata con la riga, nelle varie combinazioni, può essere positivo o negativo, come distanza si prende la minima tra: a) distanza minima dal bordo; b) distanza dal bullone contiguo, procedendo verso l'interno. Nelle precedenti versioni veniva invece presa la distanza minima dal bordo.
Si tenga presente che nella verifica di bulloni "esterni" la distanza dal bordo è quella minima indipendentemente dalla direzione, e non quella minima al variare dei bulloni nella direzione considerata. Ciò per evitare situazioni pericolose come quelle in figura, a destra, non coperte dalle normative dato che V non è parallela a righe o colonne. Scomponendo in direzione x ed y (come necessario per riportarsi a righe e colonne della bullonatura) si avrebbero lunghezze più lunghe di quella effettivamente disponibile. Usare la distanza minima, comunque, può portare a progettazioni lievemente sovra conservative in casi come quelli a sinistra in figura.

In dettaglio le formule sono le seguenti.
CNR 10011 TA E SL

dove σc è la pressione di contatto, distmin, è la minima distanza della bullonatura dai bordi della faccia del pezzo da verificare su cui è applicato il bullone, ed fd è la tensione di progetto, funzione dello spessore del piatto e del fatto che si stia verificando agli stati limite o alle tensioni ammissibili.
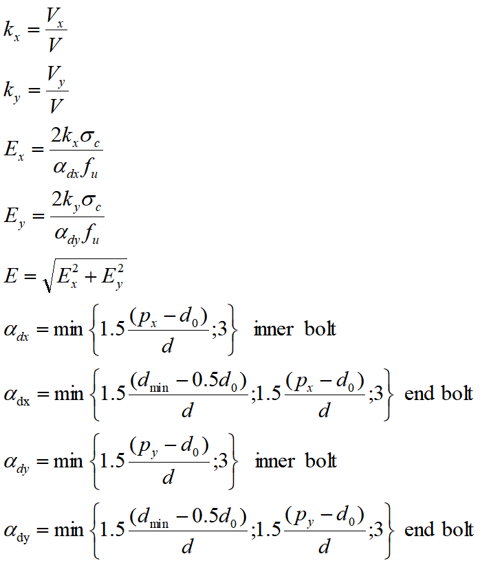
EC3
Posto che fu sia la tensione di rottura ed E lo sfruttamento finale, si ha:

I valori di k1 ed α dipendono dalla direzione del carico e dalla posizione del bullone considerato. Considerando la direzione x si ha, essendo px il passo dei bulloni in direzione x
Se il bullone è interno:

Se il bullone è esterno:

Se, sempre considerando Ex, il bullone è interno in direzione y si ha:

Mentre se in tale direzione è esterno

Per la direzione y occorre considerare le medesime formule ma la posizione del bullone per azioni in direzione y (per α) o x (per k1).
Le formule qui riepilogate sono una ragionevole estensione di quelle scritte in Ec3 per tener conto del fatto che il concetto di “interno” o “esterno” dipende dalla direzione e dal verso della forza, ed inoltre per considerare il caso in cui la forza sia inclinata. Nel caso in cui la forza sia orizzontale o verticale si ritrovano le formule di EC3. Negli altri casi la formula adottata è comunque tale da rispettare l’equilibrio.
Nel caso in cui il foro sia maggiorato, E è amplificato di un fattore 1.25. Il foro è considerato maggiorato se non è di precisione, e se è stato fissato un gioco foro bullone maggiore di 3mm.
Se il foro è asolato, E è amplificato di un fattore 1/0.6 = 1.666.
AISC ASD
Va usata la distanza netta, ovvero misurata dal bordo e non dal centro del foro.

Se il foro è asolato, E è amplificato di un fattore 1.5.
AISC LRFD
Va usata la distanza netta, ovvero misurata dal bordo e non dal centro del foro.

Se il foro è asolato, E è amplificato di un fattore 1.5.
IS 800 WS

Il termine d0 indica il diametro del foro del bullone.
Se il foro è asolato, E è amplificato di un fattore 2. Se è maggiorato, E è amplificato di un fattore 1.42.
IS 800 LS

Il termine d0 indica il diametro del foro del bullone.
Se il foro è asolato, E è amplificato di un fattore 2. Se è maggiorato, E è amplificato di un fattore 1.42.
BS 5950
Posto che fu sia la tensione di rottura, fy quella di snervamento, σc lo sforzo di contatto dovuto a V, ed E il coefficiente di sfruttamento finale, abbiamo:

I valori di ex ed ey dipendono dalla direzione del carico e dalla posizione del bullone in esame. Per la direzione x, detta px la distanza tra i bulloni in direzione x, abbiamo
Per bulloni interni:
ex = px
Per bulloni esterni:
ex = min{px ; edge_distmin}
Per la direzione y si usano le stesse formule ma scambiando x con y.
Le formule qui riepilogate sono una ragionevole estensione di quelle scritte nelle BS per tener conto del fatto che il concetto di “interno” o “esterno” dipende dalla direzione della forza, ed inoltre per considerare il caso in cui la forza sia inclinata. Nel caso in cui la forza sia orizzontale o verticale si ritrovano le formule delle BS. Negli altri casi la formula adottata è comunque tale da rispettare l’equilibrio.
__________________________________________________
PERNI
Le verifiche a rifollamento per i perni sono diverse dalle verifiche a rifollamento per le normali bullonature, anche perché vi sono precise limitazioni sulla forma e sullo spessore dei pezzi coinvolti dal perno, che si considerano soddisfatte.
La verifica avviene confrontando la tensione di contatto σc con un valore limite σL che dipende dalle varie normative.
CNR 10011-TA
![]()
CNR 10011-SL
![]()
EUROCODE 3
![]()
IS-WS
![]()
IS-LS
![]()
AISC-ASD
![]()
AISC-LRFD
![]()
BS 5950

Si assume che il perno debba consentire le rotazioni e/o che sia possibile sostituirlo.
SNiP II - 23 - 81
Si vedano anche le spiegazioni relative ai fattori di sicurezza nelle norme SNiP.
Per bulloni di classe di precisione A ("bulloni di precisione"):
![]()
dove Run=fu è la tensione di rottura nominale dato lo spessore, ed E è il modulo di Young.
Per bulloni con classe di precisione B e C ("bulloni non di precisione"):
![]()
____________________
-----------------------------
C.S.E. - 2001-2022 - Copyright Castalia srl - Milan - Italy - www.castaliaweb.com