BULLONATURE
(per i perni, vai qui)

Le sollecitazioni taglianti dovute a Vu, Vv vengono ripartite sui bulloni in misura eguale:

La torsione Mz genera un taglio nei bulloni che viene ripartito utilizzando il momento di inerzia polare della bullonatura rispetto al suo baricentro, e la distanza di ciascun bullone dallo stesso:
![]()
![]()
essendo JP il momento di inerzia polare, u e v gli assi principali ed “i” il generico bullone.
Se c'è solo un bullone il momento torcente applicato deve provocare una tensione tangenziale infereiore a 5MPa (la regola applicata è la stessa valida per i perni, si veda più sotto).
Per quanto riguarda la azione normale ed i due momenti flettenti, questi generano nei bulloni delle azioni normali (trazione o compressione) che vengono calcolate in modo molto differente a seconda che la bullonatura abbia o non abbia un contrasto.
Nel caso in cui sia stato definito un fattore per l'effetto leva maggiore di 1, le forze di trazione utilizzate per il controllo sono quelle del calcolo amplificate da tale fattore.
Se la bullonatura non ha un contrasto allora l’asse neutro della sua flessione è baricentrico, e le trazioni e compressioni dei singoli bulloni sono determinate dalla semplice formula
![]()
essendo “i” il generico bullone, n il numero totale dei bulloni, J i momenti di inerzia ed (u,v) la coppia di assi principali.
Precisamente risulta:

Questo tipo di funzionamento è senz’altro a favore di sicurezza, ma trascura il rilevante contributo all’assorbimento delle compressioni dato dal contatto tra le superfici bullonate (ovvero: il contrasto). In effetti la pressoflessione (o tenso flessione) viene in questo modo unicamente assorbita dalla bullonatura. Per mitigare in parte l’eccessiva conservatività di questo approccio (peraltro molto diffuso ed utile) si conviene talvolta di non considerare la compressione nei bulloni, ovvero di calcolarla ma di trascurarla poi in fase di verifica.
Se la bullonatura ha un contrasto, allora esiste una superficie (detta poligonale di contrasto) sulla quale vengono scambiate azioni monolatere di compressione. Il contrasto reagisce a compressione ma non può reagire a trazione. Il calcolo della bullonatura diviene non lineare e segue le linee generali di quanto si fa ad esempio per il calcolo di sezioni in calcestruzzo armato, ove il calcestruzzo non reagisce a trazione. L’uso del contrasto dà luogo a risultati maggiormente realistici, ed in particolare ad azioni di trazione inferiori all’interno dei gambi dei bulloni, ma comporta un calcolo nonlineare della sezione e, inoltre, richiede qualche attenzione. Per quanto riguarda il calcolo non lineare questo è effettivamente eseguito da CSE in funzione della legge costitutiva no tension che si decide di dare al contrasto. Questa può essere una legge a parabola-rettangolo, elastica perfettamente plastica, una trilineare o una legge indefinitamente elastica. In questo caso si specifica un fattore di omogeneizzazione riferito all’acciaio per determinare il modulo di elasticità del contrasto. Messa a posto la legge costitutiva del contrasto, restano alcune fondamentali avvertenze. Il contrasto deve resistere alle pressioni applicate e soddisfare convenientemente la legge costitutiva applicata. I casi tipici sono due: a) una fondazione in c.a. per la quale si adotterà una legge di tipo parabola rettangolo o indefinitamente lineare; b) un giunto flangiato nel quale il contrasto è la flangia, la quale dovrà essere opportunamente costolata per resistere alle pressioni applicate. Oltre a poter resistere il contrasto deve essere definito in modo tale da non generare situazioni fisicamente impossibili (come un contrasto che agisca in una zona ove è presente una sola superficie e non due a contatto). Quello che qui basta dire è che nel caso di bullonatura con contrasto i calcoli sono nonlineari e il contrasto deve effettivamente essere dimensionato per portare i carichi applicati (si veda all'argomento dedicato).
Nel calcolo della bullonatura si possono dare i seguenti casi:
•Bulloni no compression: in questo caso la compressione viene calcolata e memorizzata ma non entra nelle verifiche;
•Bulloni solo a taglio: in questo caso la rigidezza assiale e flettente della bullonatura è molto piccola ma non nulla. Se nel renodo vi sono altri unitori più rigidi in grado di “prendere” quelle componenti di azione allora questi altri unitori saranno opportunamente caricati e la bullonatura solo a taglio risulterà quasi scarica. Questa è la condizione normale. Se invece non vi sono altri unitori in grado di prendere quelle componenti di azione, allora le azioni di trazione e flessione affluiranno comunque alla bullonatura “solo a taglio” generando dei spostamenti (traslazioni e rotazioni) molto rilevanti. Questa condizione, evidenziata appunto da spostamenti elevatissimi, individua di fatto una contraddizione nel modo in cui è stata definita l’unione, in quanto di fatto la bullonatura non può essere “solo a taglio”. Il modo giusto per risolvere il problema è quello di rimuovere la limitazione “solo a taglio” oppure quello di aggiungere altri unitori in grado di prendere su di sé le azioni incriminate.
•Bulloni ad attrito: si rimanda all'argomento dedicato.
•Bulloni ancorati: si rimanda all'argomento dedicato.
•Momenti parassiti sui gambi: CSE è in grado di calcolare i momenti parassiti sui gambi dei bulloni. Se si decide di trascurarli questi non verranno tenuti in conto nelle verifiche (e nel caso di norma CNR saranno applicate le penalizzazioni previste), in caso contrario questi saranno tenuti in conto aggiungendo alla tensione normale dovuta alla trazione (o compressione) la tensione normale dovuta alla flessione, calcolata con la formula M/W, essendo W il modulo di resistenza a flessione della sezione reagente del gambo. La scelta di trascurare o meno i momenti parassiti sui gambi è una impostazione generale delle verifiche, non un attributo della singola bullonatura.
La verifica di una bullonatura viene eseguita per ciascun bullone, soggetto alle azioni che gli competono, in ciascuna sezione di verifica. Il programma calcola in corrispondenza a ciascun estremo della bullonatura le azioni complessive afferenti, da queste le azioni interne in ciascuna sezione e poi da queste smista ai singoli bulloni le azioni unitarie e verifica poi il bullone singolarmente. CSE può bullonare fino a 10 “piatti” diversi.
VERIFICHE DI RESISTENZA SULLA SEZIONE DI UN BULLONE (NON PERNI)
Nel seguito si danno le formule di verifica a resistenza per i gambi di bulloni non ad attrito. La presenza di un pretiro è ininfluente ai fini delle verifiche.
A partire dall'aprile 2017 (v. 7.60), le formule di verifica dei bulloni sono state modificate per ottenere fattori di sfruttamento e non indici di sfruttamento, e per tener meglio conto della contemporanea presenza di taglio, azione assiale e momento flettente. La formula combinata è illustrata nel volume Steel Connection Analysis, di Paolo Rugarli (Wiley).
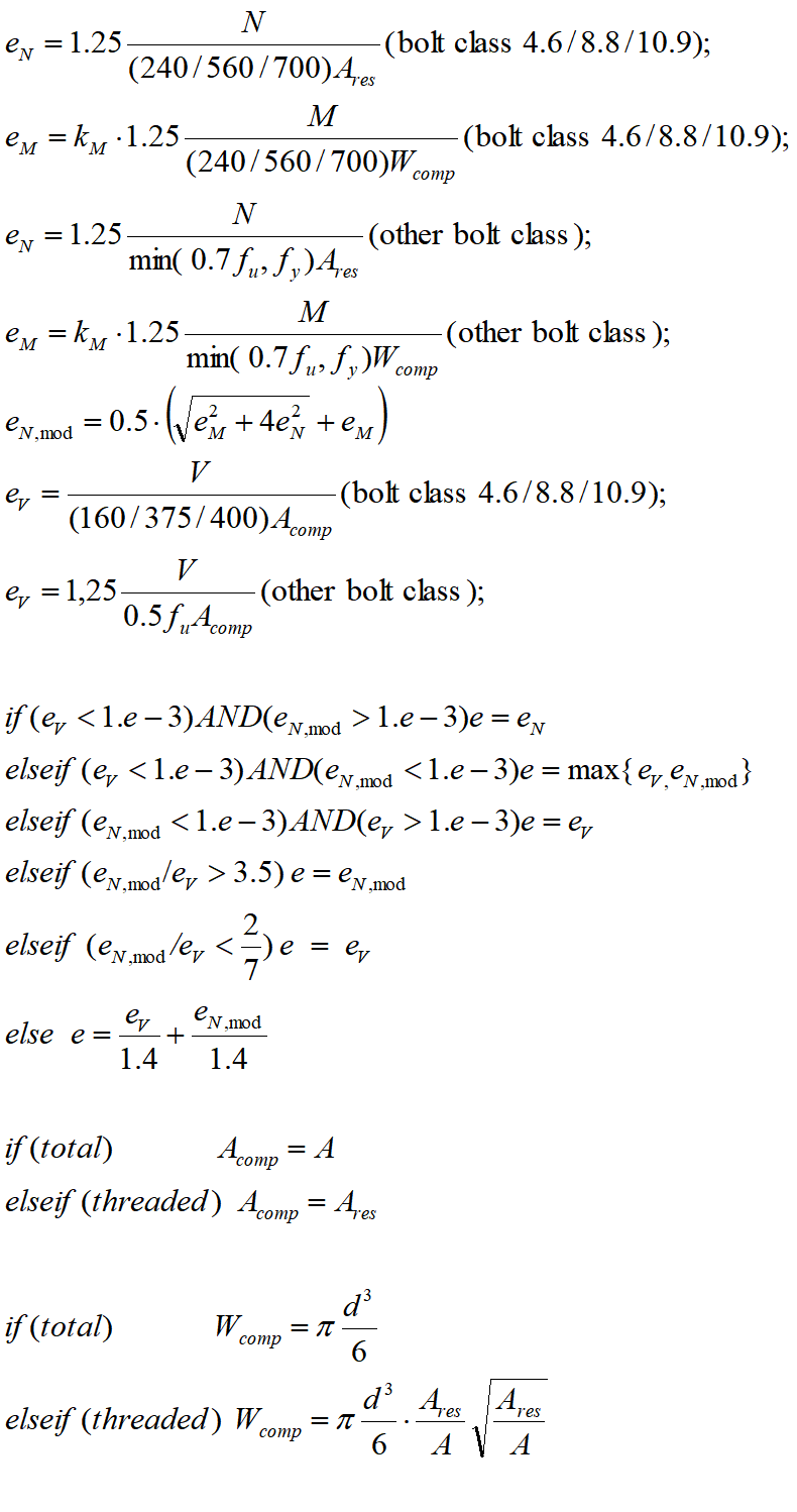
CNR 10011 TA
La verifica della sezione del bullone a resistenza avviene mediante le seguenti formule (e=sfruttamento):

Nelle precedenti formule, se si è deciso di trascurare i momenti parassiti nei gambi si ha:
kN=1,25 kM=0
Altrimenti
kN=1 kM=1
CNR 10011 SL
Le formule sono identiche ma al posto di 1,5 si deve usare 1.

total: sezione totale.
threaded: sezione filettata
EC3

Nelle precedenti formule, se si è deciso di trascurare i momenti parassiti nei gambi si ha:
kM=0
Altrimenti
kM=1
AISC ASD

AISC LRFD

Nelle precedenti formule, se si è deciso di trascurare i momenti parassiti nei gambi si ha:
kM=0
Altrimenti
kM=1
IS 800 WS

Nelle precedenti formule, se si è deciso di trascurare i momenti parassiti nei gambi si ha:
kM=0
Altrimenti
kM=1
IS 800 LS

Nelle precedenti formule, se si è deciso di trascurare i momenti parassiti nei gambi si ha:
kM=0
Altrimenti
kM=1
BS 5950
I dati sono in MPa o numeri puri a seconda del contesto. Il programma usa il "simple method", e quindi tiene conto delle forze di leva aumentando le forze (il che equivale a ridurre la tensione di riferimento del 20%). In questo caso l'analisi fem dei componenti inflessi dovrà essere fatta utilizzando il modulo elastico dello spessore dei piatti (t2/6) e non quello plastico (t2/4). Ciò implica l'usare un modello fem in campo lineare e non elasto-plastico.

Nelle precedenti formule, se si è deciso di trascurare i momenti parassiti nei gambi si ha:
kM=0
Altrimenti
kM=1
SNiP II-23-81
Si vedano anche le spiegazioni relative ai fattori di sicurezza nelle norme SNiP.
Gli sfruttamenti dovuti alla azione assiale ed al taglio nel gambo sono valutate separatamente e si considera il massimo tra i due.

Nelle precedenti formule, se si è deciso di trascurare i momenti parassiti nei gambi si ha:
kM=0
Altrimenti
kM=1
______________________________________________________________________________
VERIFICHE DI RESISTENZA SULLA SEZIONE DI UN PERNO
Le verifiche di resistenza di un perno sono in generale differenti da quelle del bullone corrispondente. Il gambo viene sempre assoggettato ai momenti flettenti di calcolo, e quindi l'opzione che prevede di trascurare le flessioni parassite non ha valore.
Per quanto riguarda le verifiche della sezione, queste sono differenti da quelle usate per i bulloni e ciò per tre ragioni:
1.la tensione limite accettabile per azione assiale viene posta eguale a 1N/mm2 (1MPa). Se l'azione assiale supera quindi il valore di 1MPa x π r2, il perno non è verificato. Se non lo supera viene scartata.
2.La tensione tangenziale limite accettabile per la torsione Mt è eguale a 5N/mm2. Se il momento torcente supera questa soglia (pari a 5MPa x πr3/2), il taglio V nel gambo del perno viene posto eguale a 1x1012 N e di conseguenza il perno non sarà verificato.
3.Le formule di combinazione degli effetti di taglio e flessione sono diverse per i perni rispetto a quelle per i bulloni, per qualcuna delle norme.
Le componenti accettabili di azione interna, a meno di piccoli valori di N ed Mt, per un perno, sono quindi il taglio V ed il momento flettente M.
CNR 10011 TA

CNR 10011SL

Eurocodice 3

AISC ASD

AISC LRFD

IS 800 WS

IS 800 LS

BS 5950

SNiP II-23-81
Si vedano anche le spiegazioni relative ai fattori di sicurezza nelle norme SNiP.
Gli sfruttamenti dovuti al momento ed al taglio nel gambo sono valutate separatamente e si considera il massimo tra i due.

Se è presente una azione assiale questa viene scartata a patto che dia luogo a una tensione inferiore a 1MPa, se invece dà luogo a una tensione superiore, il suo contributo viene sommato agli altri: si tratta comunque di una situazione non voluta e non consigliabile.
-----------------------------
C.S.E. - 2001-2018 - Copyright Castalia srl - Milan - Italy - www.castaliaweb.com